さらに、冒頭で述べたように物体に作用する力と加速度の関係を規定する方程式が見いだせれば運動を決定できることに触れたので加速度の定義について説明します。
加速度の場合も一定の割合で速度が変化していれば、速度の変化をその間の時間間隔で割って算出できますが、時々刻々と変化している場合は、速度の定義と同様に時刻を独立変数として表示した速度を各区画では加速度が一定とみなせる程度に時間間隔を細かく分割して、その間における速度の変化を時間間隔で割ることにより加速度を定義できることから加速度については速度を微分することで得られます。
また、加速度も速度ベクトルの差をスカラー量であるΔtで割って、限りなく0に近づけているのでベクトルとなります(図4-1-8)。

図4-1-8. 加速度の定義
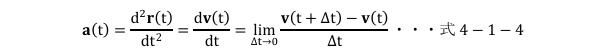
そして、速度と同様に、各時刻の加速度ベクトルをa(t)と表すと加速度ベクトルは速度変化ベクトルまたは速度ベクトルを用いて

と定義され、また、各時刻の加速度は各時刻の速度の成分vx(t)、vy(t)、vz(t)を用いて表せば

と表示されます。