次に、冒頭で述べたように力学では各時刻の座標に加え、各時刻の速度の情報も運動を決定する際に必要になることから速度について説明します。
一定の速度で物体が運動している場合には変位を移動時間で割って速度を定義しますが、時々刻々と速度が変化している場合は、各区画で速度が一定とみなせる程度に時間間隔を細かく分割して、非常に短い経過時間における変位ベクトルを経過時間で割って、時々刻々の速度を定義することで各瞬間の速度が定義できます。
この操作は微分とよばれ、変位ベクトルをスカラー量であるΔtで割って時間間隔を限りなく0に近づけているため、速度もベクトルとなります。(図4-1-7)。

図4-1-7. 速度の定義
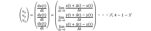
そして、各時刻の速度ベクトルをv(t)と表すと速度ベクトルは変位ベクトルまたは位置ベクトルを用いて

と定義され、また、各時刻の速度の成分は、各時刻の位置ベクトルの成分x(t)、y(t)、z(t)を用いて表せば

と表示されます。